第五篇 统计学习方法是如何实现分类与聚类的(十)
清华大学计算机系 马少平
第十节:线性支持向量机
小明:您前面介绍的支持向量机叫线性可分支持向量机,也就是说要求训练集中的样本必须是线性可分的。如果训练集不满足线性可分条件,比如说绝大部分样本可以用一个超平面分开,但是有少数样本不能被区分开,如图5.33所示两类样本交叉在一起的情况,无论怎么画直线也不能将两类分开,这种情况下还可以使用支持向量机方法构造一个分类器吗?
艾博士:前面我们介绍的是线性可分支持向量机,针对的是训练样本线性可分的情况。如果训练集中只有少数样本不具有线性可分性,其他绝对大部分样本都可以线性可分时,也可以构造支持向量机,只是这种情况下就不是线性可分支持向量机了,是线性支持向量机,少了“可分”二字。
小明:在线性可分支持向量机中,通过最大间隔求解最优分界面,当训练集不具有线性可分性时,如何求解最优分界面呢?
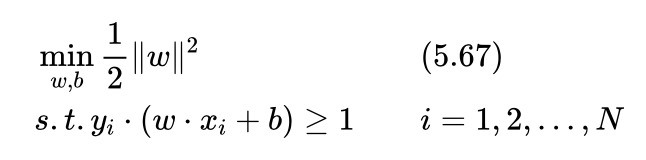
艾博士:我们先来回顾一下式(5.36)给出的线性可分支持向量机问题:


图5.33 两类样本出现交叉情况示意图
在该问题中,要求训练集中的所有样本到最优分界面的函数间隔均大于等于1,也就是满足条件:
在训练集线性可分的情况下,可以做到这一点。当训练集不具有线性可分性时,就需要降低要求,弱化该条件,在大多数样本满足该约束条件的情况下,允许少量样本不满足该条件。这里的关键是如何衡量“允许少量样本不满足该条件”。
小明:那就是满足该条件的样本越少越好,以此为优化条件。
艾博士:当然这么做也不是不可以,但是不满足该条件也有程度上的不同。如图5.34所示,假设样本a到最优超平面的函数间隔为0.9,虽然不满足约束条件,但是也只是以微小差距不满足约束条件,样本b到最优超平面的函数间隔为0.1,显然二者不是等价的,如果在a与b中选择一个样本允许其不满足约束条件的话,我们会更愿意选择a而不是b。再看样本c,其不但不满足约束条件,还“跑”到了超平面的另一端,更是我们希望尽可能避免的。

图5.34 不满足约束条件的样本示例
为此我们引入松弛变量 ξi>=0(i=1,2,...,N) ,每个样本 xi 对应一个 ξi=0 ,对于满足约束条件的样本 xi ,其对应的 ξi=0 。对于不满足约束条件的 xi ,我们允许该样本到超平面的函数间隔小于1,但是也不能太离谱,要求大于等于 1=ξi ,也就是式(5.67)中的约束条件修改为:

同时要使得所有的 ξi 之和尽可能小。
这样线性支持向量机就变成了求解如下的优化问题:

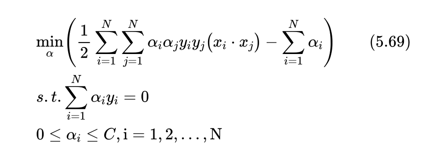
这就是线性支持向量机的优化问题,该问题同样可以采用类似于前面介绍过的拉格朗日乘子法,并转化为对偶问题求解,只有由于又引入了新的变量 ,变得更加复杂,我们就不做介绍了,直接给出其对应的对偶问题:
讲解到这里艾博士问小明:你看看式(5.69)所示的线性支持向量机对应的优化问题与我们前面讲的式(5.57)所示的线性可分支持向量机对应的优化问题有什么区别吗?
小明初看并没有发现有什么不同的地方,正想回答说没看出有哪些不同时,突然发现二者确实有少许差别,于是回答到:在式(5.57)中,αi 只要求大于等于0,而在这里要求是大于等于0,同时小于等于C。除此之外应该就没有其他方面的差别了。
艾博士称赞小明看得认真仔细:确实只有这一个小差别。也就是说,在线性可分支持向量机中,αi 的值可以任意大,但是在线性支持向量机中,αi 的变化受到限制,不能大于C的值,这里的C就是式(5.68)中的惩罚参数。可以设想,如果C接近于无穷大时,式(5.68)所示的最小值问题只能是 ξi 趋近于0,这时线性支持向量机就与线性可分支持向量机完全一样了,可见线性可分支持向量机是线性支持向量机当C趋近于无穷时的一个特例。
同样,满足式(5.69)最小值条件的α 我们记作 α*:

同样,与非零值 αi* 对应的样本就是支持向量,只是这里的支持向量有两类。一类是到最佳分界面的函数间隔等于1的样本,这是标准的支持向量,与这类样本对应的 ξi=0、0<αi*<C 。还有一类是到分界面的函数间隔小于1的样本,或者是“跑”到了最优分界面另一面的样本(即分类错误的样本),也被称作支持向量,与这类样本对应的 ξi>0 、αi*=C 。当 ξi=1 时,对应的样本刚好在最优分界面上,分类决策函数为0,无法判断其对应样本的类别;当 ξi<1 时,其对应的样本可以得到正确分类;当 ξi>1 时,其对应的样本被错分为另一类。与 αi*=0 对应的样本就是非支持向量,最优分界面与这些样本无关,在训练结束后可以将其从训练集中删除。
图5.35给出了一个支持向量与 ξi 之间的关系示意图。

图5.35 支持向量与 之间的关系示意图
图中实心样本点均为支持向量,空心样本点均不是支持向量。处于虚线上的三个绿色样本点和两个蓝色样本点,是标准的支持向量,他们到最优超平面的函数间隔为1,对应的 ξi 值为0,对应的αi* 满足 0<αi*<c 。ξ<1 对应的样本点,其分类正确,相应的 αi*=c 。ξ>1 对应的样本点,其分类错误,相应的 αi* =C。
小明:那么如何得到 ξi 的值呢?
艾博士: ξi 是引入的中间变量,线性支持向量机并不需要知道ξi 的值。如果想了解每个样本 对应的 ξi 值,可以通过计算得到。首先αi*=0 对应样本点 xi 不是支持向量,其到最优分界面的函数间隔肯定大于1,所以对应的 ξi 其值也为0。其次,对于满足条件 的 ,其对应的样本点 是标准的支持向量,其到最优分界面的函数间隔等于1,所以对应的 ξi 其值也为0。只有 所对应的 ξi 其值为一个大于0的数,其对应的 xi 也为支持向量,应满足条件:

对于分类正确的样本点,如图5.35中所示的 ξi <1 的样本点,其到最优分界面的函数间隔大于0小于1,所以自然有 ξi <1 。对于分类错误的样本点,如图5.35中所示的 ξi >1 的样本点,由于出现了分类错误,此时计算的函数间隔
是个负数,所以实际上相当于:

所以自然有 ξi >1 。
小明有些不解地问到:函数间隔为什么还可以是负数呢?
艾博士解释到:在分类正确的情况下,对于正类样本点,
,对于负类样本点,
,所以无论是正类还是负类样本点,均有函数间隔大于0的结果。但是当分类错误时,比如对于标记为正类的样本点被错分成了负类,则 yi还是为1,但是计算得到的
会小于0,所以就出现了函数间隔
小于0的情况。当标记为负类的样本点被错分成正类时,也会出现同样的结果。也正是由于这一点,对于错分类的样本点,我们也可以通过式(5.74)计算错分类样本点 xi 对应的 ξi 值。
小明:原来是这样啊,可以认为对于错分类的样本点,其到最优分界面的函数间隔小于0,是个负数,这样更加方便计算。
艾博士:确实是这样的。
未完待续