就在前些日子(2021/2/3),一个以色列研究团队在Nature上发表了一篇有趣的论文[1,2]:他们开始用AI来给数学家出题了。
事情是这样的,这帮科学家写了一个称为“拉马努金机”(下面简称“拉机”)的程序,专业生产数学猜想。数学猜想大家都知道,就是对某种可能的数学规律的猜测,比如鼎鼎大名的“哥德巴赫猜想”,“费马大猜想”等等。这些猜想基本都是由一些天才数学家提出来的,不论证明与否,本身就需要顶尖智商和对数学结构的深刻洞察。“拉机”就做了这么件打破神话的事:它通过很暴力的方式去搜索数字中的规律,只要试的足够多,总能抓到一些新东西。当然,它也不知道抓到的东西到底是不是真的,不过没关系,抛出来给数学家嘛,让他们去证明嘛。于是,一个猜想狂“机”就诞生了。
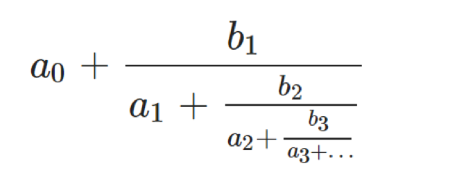
当前这个“拉机”仅关注一些数学常数的猜想,这些常数包括自然对数的底e,圆周论π等等。这些常数绝大部分是无理数(无限不循环小数),或有理无理未知的数(如卡塔兰常数G)。“拉机”用一个无限嵌套的除式来表示这些常数,形式如下:

其中每个a和b都表示一个整数。对这些整数尝试不同的取值,并和标准方法得到的结果进行对比,就可以发现新的表达式。下面是“拉机”发现的一些猜想,这些定理已经被人们证明了:

另外还有些猜想没得到证明:

就这样,“拉机”硬是把数学猜想这件高大上的事变成了挖矿一样的苦力活,而且管挖不管埋,只管猜想不管证明。到目前为止,“拉机”还在不断猜想的路上,并不断把它新发现的猜想散布到网上(http://www.ramanujanmachine.com/),吸引数学家们去证明。
有趣的是,人工智能诞生后的第一件事就是去帮数学家证明定理,人来出题,机器来证明,这是AI的第一仗,而且赢的很漂亮。历史轮回,现在轮到AI出题,人来证明了。一个是利用了机器的演绎能力,一个是利用了机器的归纳能力,不论是哪种方式,都非常精彩。有人会问:机器又能提出猜想,又能做定理证明,那数学家们是不是要失业了?当然还没到那个时候,不过显而易见的是,未来AI会给数学家们提供越来越多的帮助。
最后解释一下“拉马努金机”这个名字。斯里尼瓦瑟·拉马努金,印度著名数学家,没受过正规的高等数学教育,沉迷于数论,特别是涉及各种数学常数的规律。他喜欢以直觉方式给出公式,不喜欢证明,但很多公式事后被证明是正确的。“拉马努金机”这个名字既是对这位天才数学家的纪念,也充分继承了他敢于挖坑,善于挖坑的行事风格,可谓恰如其分。
图1:斯里尼瓦瑟·拉马努金(1887年12月22日-1920年4月26日),印度著名数学家

图片来源于网络侵删
参考文献:
[1].AI maths whiz creates tough new problems for humans to solve, Nature News, 2021/2/3, https://www.nature.com/articles/d41586-021-00304-8
[2].Generating conjectures on fundamental constants with the Ramanujan Machine, Nature, 2021/2/3 https://www.nature.com/articles/s41586-021-03229-4