在现实生活中,我们经常会遇到求解最佳路径问题,比如导航软件要求从S点到G点的最短路径,A*算法就是一个有效的求解最佳路径的搜索算法。
假设我们在地图上求从S出发到达目标G的最短路径,每一个路口可以视为一个状态,最短路径问题就是在地图上找出一个从S到达G的状态序列,使得沿着这一状态序列行走的距离最短。该状态序列称为从S到G的最短路径,寻找最短路径的过程称为状态搜索。
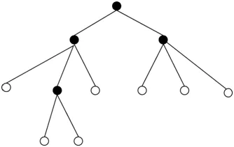
图1:一个局部状态搜索图

图1给出一个状态搜索图的样例,其中每个节点代表一个状态,即路径中的一个路口,两个状态间的连线表示直通道路。为了找到一条从S到达G的路径,我们每次从上图中选择一个叶节点进行扩展,直到找到目标节点G为止。
问题是,在搜索图中有很多叶节点,究竟应该对哪个节点进行扩展呢?一个直观的方案是,如果某个叶节点n距离初始节点S的距离再加上节点n到目标节点G的最小距离之和最小,那么该节点处在最短路径上,应该优先扩展。我们用g(n)表示S到n的最短路径距离,用h(n)表示n到G的最短路径距离,则从S经过n到达G的总距离f(n)为:
f(n) = g(n) + h(n)
如果我们选择f(n)最小的叶节点进行扩展,将保证搜索效率最高。
然而,在实际搜索时我们无法直接利用f(n)来选择扩展节点。首先,在搜索过程中,我们并不知道当前搜索得到的S到n的路径是不是最短路径,因此当前记录的距离g’(n)并不一定等于S到n的最短距离g(n)。第二,在搜索过程中,我们还没有找到一条从n到G的最短路径,因此也就不知道h(n)是多少。
如何解决这一困难呢?一种方案是用当前得到的S到n的距离g’(n)代替未知的最短距离g(n),并用一个估计值h’(n)代替n到G 的最短距离h(n),基于这两个近似值得到f(n)的估计f’(n)=g’(n)+h’(n),并基于f’(n)进行搜索。
算法首先从初始节点S开始,每次选择一个f’(n)值最小的叶节点进行扩展,直到扩展出目标G且f’(G)在所有叶节点中取值最小为止。在搜索过程中,如果遇到多条路径到达同一个节点的情况,需要更新从S到达该节点的最短路径估计g’(n)。
上述算法被称为A算法。在A算法中,对h’(n)没有明确限制,只要符合直觉即可,因此h’(n)可能比h(n)小,也可能比h(n)大,其中h(n)为n到G的最短路径。A算法不能保证找到的路径是最短路径。然而,如果对h’(n)加以限制,使得对于任何一个叶节点n,总有h’(n)<=h(n),那么该算法找到的路径一定是最短的,此时A算法被称为A*算法。
在前述地图搜索任务中,我们可以通过城市的坐标值来计算两个城市之间的直线距离。显然,两点之间的直线距离肯定小于等于他们之间的实际最短路径距离。因此,利用这一直线距离来计算h’(n)可以满足A*算法的条件,所以一定可以搜索到一条最短路径。图2给出一个A*算法执行路径搜索的运行过程。
图2:A*算法搜索过程示意图[1]

A*算法不限于搜索地图上的最短路径,很多问题,只要可以转化为状态搜索问题,都可以使用A*搜索,比如:八数码问题、旅行商问题、传教士与野人问题等。